博主还在上学,因为要经常跑一些仿真实验(实验需要在Linux系统下才能跑),而博主手里有两台台式主机:
1)实验室主机(windows系统,性能较弱)
2)宿舍主机(windows系统,性能较强)
但是由于老师经常派活所以本人大部分时间还是位于实验室的,这就导致大部分时间我都是利用实验室主机的VM虚拟机在跑实验,少部分时间利用宿舍主机的VM虚拟机跑(所以博主还需要时不时将代码上传github方便两边同步)。
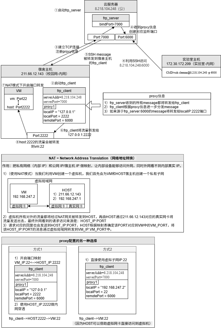
因为实验室主机实在是非常地慢所以博主受不了了,恰好手里又有一台以前用学生优惠买的阿里云轻量级应用服务器(2vCPU/2GiB),又因为实验室主机位于实验室内网,宿舍主机位于校园网内网,所以想利用内网穿透的方式将宿舍主机的VM虚拟机暴露出来,实验室主机通过ssh方式连接实现对宿舍主机的访问。
最终的实现如下(利用了开源的内网穿透工具frp),在过程中顺便了解了一些NAT相关的知识:

如果有不清楚或者博主有错误的地方欢迎交流
