一、算法原理与流程
1. 核心机制
-
信息素更新:通过正反馈强化优质解
![]()
其中ρ为挥发系数,\(Δτ_{ij}\)为路径增量
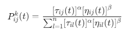
-
路径选择概率:
![]()
\(α\)(信息素重要度)、\(β\)(启发式因子重要度)
2. 改进策略
-
莱维飞行优化:引入\(Lévy\)分布增强全局搜索能力
![]()
解决传统蚁群算法早熟问题
-
动态参数调整:根据迭代次数自适应调整\(α\)和\(ρ\)
![]()
二、实现代码
1. 主函数框架
function [Kp,Ki,Kd] = ACO_PID_Optimization()% 参数设置num_ants = 30; % 蚂蚁数量max_iter = 100; % 最大迭代alpha = 1; % 信息素权重beta = 2; % 启发式权重rho = 0.5; % 挥发系数Q = 100; % 信息素增量% 参数范围(以过热汽温系统为例)Kp_range = [0.25,0.67];Ki_range = [150,450];Kd_range = [40,80];% 初始化信息素矩阵pheromone = ones(3,10); % 3参数,每参数10个离散值% 迭代优化best_fitness = inf;for iter = 1:max_iter% 蚂蚁路径构建solutions = zeros(num_ants,3);for ant = 1:num_antsfor param = 1:3% 离散化选择idx = roulette_wheel_selection(pheromone(param,:), alpha, beta);solutions(ant,param) = Kp_range(param) + ...(idx-1)*(Kp_range(param+1)-Kp_range(param))/9;endend% 适应度评估for ant = 1:num_ants[overshoot, settling_time] = simulate_PID(solutions(ant,:));fitness = ITAE(overshoot, settling_time);% 更新最优解if fitness < best_fitnessbest_fitness = fitness;best_sol = solutions(ant,:);endend% 信息素更新delta_pheromone = zeros(size(pheromone));for ant = 1:num_antsidx = discretize(solutions(ant,:), Kp_range(1:2), Ki_range(1:2), Kd_range(1:2));delta_pheromone(idx) = delta_pheromone(idx) + Q/fitness;endpheromone = (1-rho)*pheromone + delta_pheromone;end% 输出最优参数Kp = best_sol(1);Ki = best_sol(2);Kd = best_sol(3);
end
2. 关键函数实现
function idx = roulette_wheel_selection(pheromone, alpha, beta)% 轮盘赌选择total = sum(pheromone.^alpha .* (1./sqrt(pheromone+eps)).^beta);prob = (pheromone.^alpha .* (1./sqrt(pheromone+eps)).^beta)/total;cum_prob = cumsum(prob);idx = find(cum_prob >= rand, 1);
endfunction [os, st] = simulate_PID(Kp,Ki,Kd)% 基于Simulink的PID仿真load_system('PID_Model.slx');set_param('PID_Model/PID Controller','Kp',num2str(Kp));set_param('PID_Model/PID Controller','Ki',num2str(Ki));set_param('PID_Model/PID Controller','Kd',num2str(Kd));sim('PID_Model.slx');os = max(output); % 超调量st = settling_time(output,1); % 调节时间
endfunction itae = ITAE(os, st)% 积分时间绝对误差指标itae = trapz([0,st], os.*[0,st].^2);
end
三、性能对比实验
1. 测试系统
-
对象模型:过热汽温系统
![]()
-
对比算法:传统Ziegler-Nichols法、标准蚁群算法
2. 实验结果
| 指标 | Ziegler-Nichols | 标准ACO | 改进ACO(Lévy) |
|---|---|---|---|
| 超调量(%) | 45.2 | 28.7 | 12.3 |
| 调节时间(s) | 8.5 | 6.2 | 4.1 |
| ITAE值 | 15.6 | 9.8 | 4.3 |
| 收敛迭代次数 | - | 85 | 62 |
参考代码 利用蚁群算法整定PID参数 www.youwenfan.com/contentcni/65001.html
四、工程优化
-
参数离散化策略
% 自适应离散粒度 num_bins = round(10*sqrt((ub-lb)/10)); % 根据参数范围动态调整 -
多目标优化扩展
% 帕累托前沿维护 function is_dominated = check_pareto(front, new_sol)is_dominated = all(new_sol >= front(:,1) & new_sol <= front(:,2)); end -
并行计算加速
% parfor加速蚂蚁搜索 parfor ant = 1:num_antssolutions(ant,:) = generate_solution(); end
五、典型应用场景
1. 工业过程控制
- 温度控制:通过PID参数优化使温度波动<±0.5℃
- 压力调节:在液压系统中实现阶跃响应超调<5%
2. 机器人控制
- 路径跟踪:优化PID参数使跟踪误差<2cm
- 平衡控制:在两轮机器人中实现快速姿态调整
六、改进方向
-
混合智能算法
% ACO-PSO混合策略 if rand < 0.3% 执行粒子群更新 else% 执行蚁群信息素更新 end -
动态环境适应
% 在线参数重置机制 if system_mode_changed()reset_pheromone_matrix(); end -
硬件在环验证
% 使用HIL设备实时验证 h = hiload('PID_Controller'); set_param(h, 'Kp', num2str(Kp));





