当前位置: 首页 > news >正文

5. 二叉树

image

2 题目二

image

2.1 判断二叉树是否是搜索二叉树(中序遍历判断是否升序 / 模板套用)

image

image

2.2 判断二叉树是否是完全二叉树(宽度优先遍历)

image

2.3 判断二叉树是否是满二叉树

image

!!! 树型 DP 问题 !!!

2.4 判断二叉树是否是平衡二叉树(形成模板 -> 树型 DP 问题,下游为上游传递信息)

image

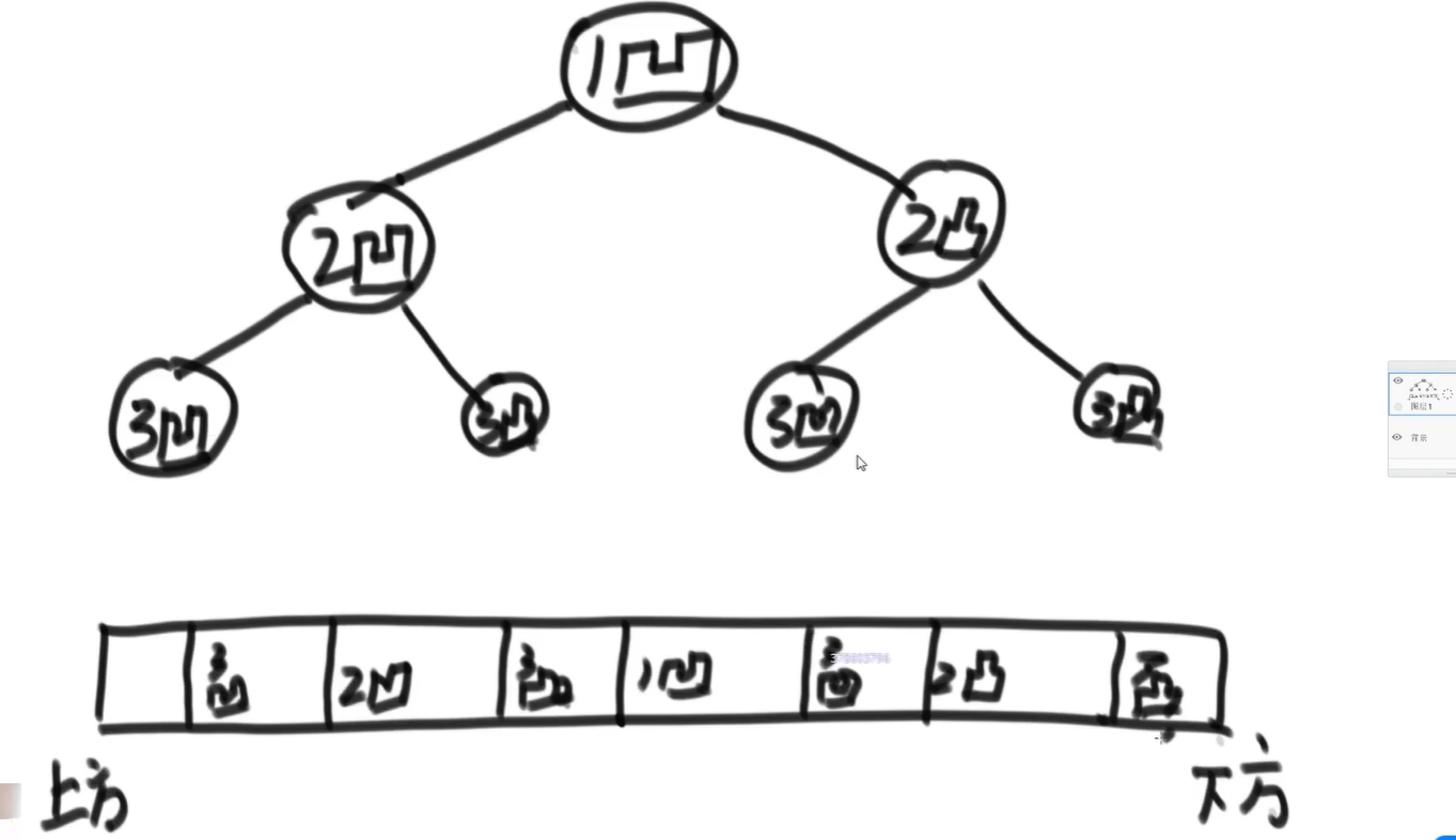
3 题目三

3.1 最低公共祖先

image

方法一

image

方法二

image
image

4 题目四

image

image

5 题目五

image

image

微软折纸题目

image

中序遍历,顺序即为折痕顺序。

http://www.hskmm.com/?act=detail&tid=12484

相关文章:

  • 第二周预习作业
  • Revit二次开发环境配置
  • CF1016G Appropriate Team
  • CF494C Helping People
  • 深入解析:Extract Chart Data Directly to Excel
  • AOSP Android12 Source 下载同步
  • 02020404 EF Core基础04-自增主键、Guid主键、混合自增、Hi/Lo算法、Migration深入、数据库其它迁移命令
  • 02020403 EF Core基础03-Fluent API、Data Annotation、两种配置的选择
  • Java中异步任务的执行方式有几种?
  • 广二联考题解补全计划:
  • Chapter 8 Contour / Shape Detection
  • 【左程云算法笔记016】双端队列-双链表和固定数组实现 - 教程
  • java相关问题:面向对象入门2与类的识别
  • EXCEL自动调整列宽的快捷键
  • 【C++实战⑬】解锁C++文件操作:从基础到实战的进阶之路 - 实践
  • 破解塔吊顶升高危难题!让事故率降 50%、审批快 70%
  • logicFlow________文档2
  • CF2086D Even String
  • logicflow___文档3
  • 2025年运营商API安全建设最佳实践:某头部省级电信案例解析与方案推荐
  • 软件工程第二次作业-第一次个人编程作业
  • 面向对象入门2与类的识别
  • 202508_天山固网_to
  • jmeter分布式压测
  • 怎么屏蔽 ahref.com 上你不想看到的网站链接(垃圾外链)
  • 浅谈字典树
  • go-mapus为局域网地图协作而生
  • 《手搓动态顺序表:从数组到自动扩容的华丽转身》 - 详解
  • 板子大全
  • 通过人大金仓数据库的逻辑备份与还原功能实现数据迁移